AssemblyLine

BuildCoverage StatusHex.pm

AssemblyLine makes handling complex job processing a painless process that will leave you wondering why you were worried about it in the first place.

Installation
Configuration
Usage

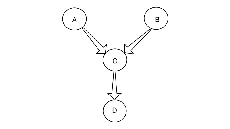
Let's say you have the following simple dependency graph:

The nature of that structure could simply be reflected by the following list: [[a, b], c, d]. That is to say each element in the outermost list is a requirement for the next element in the list. If multiple nodes are requirements of another node but not of each other then they can be grouped together in their own list.

In order to process the above graph with AssemblyLine you simply need to pass the following structure to a new Server.

[
  [
    %Job{task: :a, args: [arg1, arg2]},
    %Job{task: :b, args: []}
  ],
  %Job{task: :c, args: [arg1]},
  %Job{task: d, args: []}
]

But what if your graph is not so simple? What if your graph isn't balanced?

You could represent the above graph with the following list:

[A, [B, C], D, E]

While that preserves the dependencies of all the nodes in the graph it isn't necessarily the most efficient way to process the DAG, if A is sufficiently slow then C is blocked for no real reason.

In these cases we can flatten the graph using another AssemblyLine.JobQueue.Server process. This means you have to create two Server processes for one graph but it allows for a clean optimization of your work load. In this case we would build the following AssemblyLine.JobQueue.Server processes:

{:ok, inner} = AssemblyLine.Supervisor.start_queue("inner", [A, B])
{:ok, outer} = AssemblyLine.Supervisor.start_queue("outer", [[C, "inner"], D, E])

Whenever the Server process encounters a string in the list it delegates down to that Server process.

Installation

Available in Hex, the package can be installed by:

  1. Add assembly_line to your list of dependencies in mix.exs:

    def deps do

     [{:assembly_line, "~> 0.5.0"}]

    end

  2. Ensure assembly_line is started before your application:

    def application do

     [applications: [:assembly_line]]

    end

Configuration

AssemblyLine has a couple of configuration options:

check_interval

The check_interval is optional and defaults to 1 second. This governs how often the Handler module checks for a response from the Tasks it spawns.

The Handler will check until all Tasks have responded, independent of the check_interval however a shorter interval will allow you to update progress information or give other feedback to users more quickly.

job_executor

The job_executor value is required if you do not specify a worker on one or more Job structs. The Handler module will call the perform/1 function on this module for each job that does not have an explicit worker setting.

Usage

There are three main 'pieces': The Server, the Handler and the Job.

The Server

next_for/1 - returns the current job set

iex> Server.next_for :my_queue
[%Job{task: :a, args: [arg1, arg2]}, %Job{task: :b, args: []}]

get_completed/1 - returns a set of completed jobs for the queue

iex> Server.get_completed :my_queue
%MapSet{%Job{task: a, args: [arg1, arg2], result: 200}}

complete_current_set/1 - pops the head off the job list for the queue

iex> Server.next_for :my_queue
[%Job{task: :a, args: [arg1, arg2]}, %Job{task: :b, args: []}]

iex> Server.complete_current_set :my_queue
iex> Server.next_for :my_queue
[%Job{task: :c, args: [arg1]}]

complete_job/2 - removes the job definition from the current set in the queue and adds the job to the finished list

iex> Server.complete_job :my_queue, %Job{task: :a, args: [arg1, arg2], result: 200}
iex> Server.next_for :my_queue
[%Job{task: :b, args: [arg1], result: nil}]

iex> Server.get_completed :my_queue
%MapSet{%Job{task: :a, args: [arg1, arg2], result: 200}}

finished/1 - Shutsdown the job queue

iex> Server.finished :my_queue
:ok

The Handler

start_all/1 - initiate the processing of a job queue

iex> Handler.start_all :my_queue
:finished | {:incomplete, [%Job{},]}

process/2 - processes the queue recursively until a job fails or all jobs finish

iex> Handler.process :my_queue, [%Job{}, %Job{}]
:finished | {:incomplete, [%Job{},]}

The Job

struct - holds information about the task, it's parameters and the outcome

%Job{task: term, args: list, worker: term, result: term, queue: String.t}

set_result/2 - assigns a value to the result attribute

iex> Job.set_result %Job{task: :a, args: [arg1], result: nil}, 200
%Job{task: :a, args: [arg1], result: 200}
``